重庆大学X-scape Lab谢辉教授团队近日于Applied Acoustics期刊(IF=3.4,JCR一区)发表了最新成果“Effects of the acoustic characteristics of natural sounds on perceived tranquility, emotional valence and arousal in patients with anxiety disorders”。
研究背景
研究方法
听音素材:


实验流程:
根据ISO国际声景标准,采用李克特量表制作问卷,评估焦虑症患者对于不同听音素材的主观感受,包括所感知到的宁静度、声景愉悦度(代表情绪效价)、声景丰富度(代表情绪唤醒)。
研究结果
焦虑程度的影响:
研究发现随着被试者的焦虑程度的加重,他们所感知到的宁静度与情绪效价逐步降低(图3)。不过,重度焦虑症患者感知到的情绪唤醒程度(mean=0.06,SD=0.27)却略高于中度焦虑症患者(mean=0.05,SD=0.26),说明重度焦虑症患者在受到声音刺激之后,可能更容易产生情绪上的波动。

*: p < 0.05; **: p < 0.01; ***: p < 0.001
前景声类型的影响:
当鸟声与水声分别作为前景声时,鸟声可以带来更高的情绪唤醒(p<0.001)。这可能是因为听到鸟声会让人联想到丰富多样的环境,而水声则让人心情更平静。另外,当前景声为鸟声时的情绪效价(mean=0.11,SD=0.37)略高于水声(mean=0.08,SD=0.37),但是没有显著性差异(图4)。

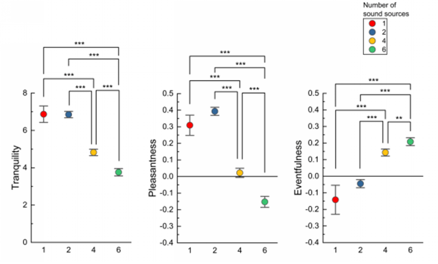
声源数量的影响:
当自然声中所包含的声源数量不超过2个时,被试者表现出高情绪效价和低情绪唤醒,此时自然声带来了情绪上的平静感(图5)。随着自然声中包含的声源数量从2个增加到6个,情绪效价的均值从0.39(SD=0.25)显著(p<0.001)下降到-0.15(SD=0.34)。随着自然声中所包含的声源数量越来越多,情绪唤醒程度逐步增加。

FBSNR的影响:
当FBSNR达到15dB时,自然声带来的宁静度(mean=5.78,SD=2.13)和情绪效价(mean=0.17,SD=0.36)最高,而情绪唤醒最低。当FBSNR超过10 dB之后,自然声引起的情绪唤醒没有显著性变化(图6)。
总结
临床实践中,在为焦虑症患者制订声景长期干预治疗方案时,需要首先从包含有大量声音素材的数据库中,选择焦虑症患接受度高的声景。然而这项重要的前期工作耗费了医护人员大量的时间,也耽误了患者的治疗进程。因此,本研究成果将帮助医护人员快速、准确地筛选出适合焦虑症患者的自然声,从而节约医疗成本。
在疗愈环境营造领域,声景扮演了越来越重要的角色。自然声景能够帮助听者缓解压力所引起的焦虑,产生平静愉悦的心情,恢复到身心健康的状态。本研究有助于设计师了解自然声的声学特征对听者感知的影响机理,从而通过优化声学特征,来营造具有疗愈性的声环境。
作者:葛煜喆、谢辉*、粟梅兰、顾天纬
原文链接: